Quand on parle de géométrie, le triangle occupe une place centrale. Comprendre l’aire et le périmètre d’un triangle n’est pas seulement essentiel pour réussir en mathématiques, mais c’est aussi une compétence pratique dans notre vie quotidienne. Qui n’a jamais eu besoin de calculer la surface d’un terrain ou de déterminer la longueur d’une clôture ?
Dans cet article, nous allons explorer plusieurs exemples d’aire et de périmètre d’un triangle. Nous découvrirons des méthodes simples et efficaces pour effectuer ces calculs, tout en vous guidant à travers des illustrations claires. Que vous soyez élève, parent ou simplement curieux, notre objectif est de rendre ces concepts accessibles et intéressants. Êtes-vous prêts à plonger dans le monde fascinant des triangles ?
Exemples D’Air Et Périmètre D’Un Triangle
Pour mieux comprendre comment calculer l’aire et le périmètre d’un triangle, explorons quelques exemples pratiques.
Exemple 1 : Triangle équilatéral
Un triangle équilatéral possède tous ses côtés de la même longueur. Supposons que chaque côté mesure 6 cm.
- Aire : Pour calculer l’aire, nous utilisons la formule :
[
text{Aire} = frac{sqrt{3}}{4} times a^2
]
Ici, ( a = 6 ) cm. Donc, l’aire est de :
[
text{Aire} = frac{sqrt{3}}{4} times 6^2 approx 15,59 text{ cm}^2
]
- Périmètre : Le périmètre se calcule avec :
[
text{Périmètre} = 3 times a
]
Pour notre exemple, cela donne :
[
text{Périmètre} = 3 times 6 = 18 text{ cm}
]
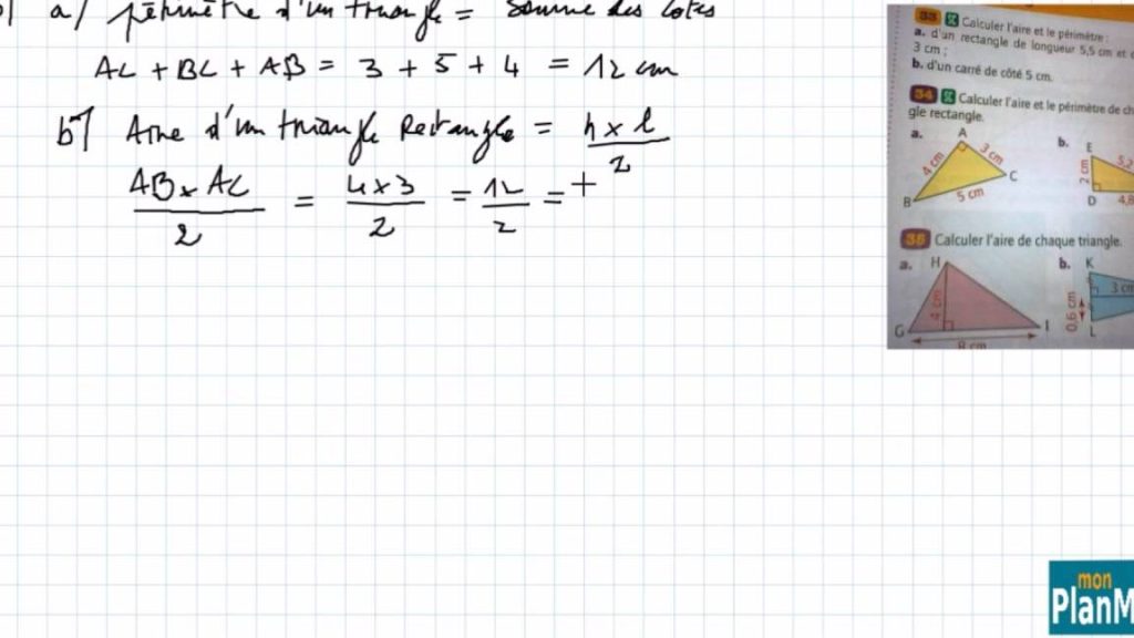
Exemple 2 : Triangle rectangle
Prenons un triangle rectangle avec des côtés de 3 cm et 4 cm.
- Aire : La formule est :
[
text{Aire} = frac{1}{2} times text{base} times text{hauteur}
]
Dans ce cas :
[
text{Aire} = frac{1}{2} times 3 times 4 = 6 text{ cm}^2
]
- Périmètre : Pour le périmètre, on utilise :
[
text{Périmètre} = a + b + c
]
Calculons ( c ) avec le théorème de Pythagore :
[
c = sqrt{3^2 + 4^2} = 5 text{ cm}
]
Alors, le périmètre est :
[
text{Périmètre} = 3 + 4 + 5 = 12 text{ cm}
]
Exemple 3 : Triangle scalène
Considérons un triangle scalène avec des côtés de 5 cm, 6 cm, et 7 cm.
- Aire : Utilisons la formule de Héron :
[
s = frac{a + b + c}{2} = frac{5 + 6 + 7}{2} = 9 text{ cm}
]
Donc, l’aire est :
[
text{Aire} = sqrt{s(s-a)(s-b)(s-c)} Rightarrow sqrt{9(9-5)(9-6)(9-7)} approx 14,7 text{ cm}^2
]
- Périmètre : Calculons simplement :
[
text{Périmètre} = 5 + 6 + 7 = 18 text{ cm}
]
Ces exemples font ressortir l’importance de connaître les différentes formules pour le calcul de l’aire et du périmètre, selon le type de triangle.
Notions De Base Sur Les Triangles
Nous allons explorer les éléments fondamentaux relatifs aux triangles. Ces formes géométriques, bien qu’apparemment simples, présentent des caractéristiques variées qui sont essentielles à leur compréhension.
Types De Triangles
Les triangles se classifient selon la longueur de leurs côtés et la mesure de leurs angles. Voici les principaux types de triangles :
Chacun de ces types a des propriétés uniques, affectant directement le calcul de l’aire et du périmètre.
Formules Clés
Pour mesurer les dimensions d’un triangle, nous devons connaître quelques formules clés. Les principales formules incluent :
Ces formules fournissent les outils nécessaires pour calculer l’aire et le périmètre des différents types de triangles, ce qui est essentiel pour de nombreuses applications pratiques.
Exemples D’Aire D’Un Triangle
Nous allons explorer des exemples concrets pour calculer l’aire de différents types de triangles. Ce processus nous aide à mieux comprendre comment varier les formules selon la forme et les dimensions.
Calcul Avec Des Triangles Équilatéraux
Pour un triangle équilatéral, tous les côtés sont égaux. L’aire se calcule avec la formule :
[
A = frac{sqrt{3}}{4} times a^2
]
où a représente la longueur d’un côté. Voici quelques exemples :
Calcul Avec Des Triangles Isocèles
Les triangles isocèles possèdent deux côtés de même longueur. L’aire de ce type de triangle se détermine grâce à la formule :
[
A = frac{b times h}{2}
]
où b est la base et h est la hauteur. Prenons des exemples :
Calcul Avec Des Triangles Scalènes
Dans le cas des triangles scalènes, tous les côtés sont de longueurs différentes. Pour trouver l’aire, on peut utiliser la formule de Héron :
[
A = sqrt{s(s-a)(s-b)(s-c)}
]
où s est le demi-périmètre :
[
s = frac{a+b+c}{2}
]
Examinons quelques exemples :
Ces calculs montrent comment adapter les formules en fonction du type de triangle, et illustrent l’importance de connaître les dimensions précises pour obtenir des résultats corrects.
Exemples De Périmètre D’Un Triangle
Le calcul du périmètre d’un triangle permet d’obtenir la mesure totale des côtés de cette forme géométrique. Cette information est fondamentale dans de nombreux domaines. Explorons les périmètres de différents types de triangles.
Périmètre Des Triangles Équilatéraux
Le périmètre d’un triangle équilatéral se détermine facilement grâce à la formule ( P = 3 times a ), où ( a ) représente la longueur d’un côté. Voici quelques exemples :
Périmètre Des Triangles Isocèles
Le périmètre d’un triangle isocèle s’exprime avec la formule ( P = 2 times a + b ), avec ( a ) comme la longueur des deux côtés égaux et ( b ) comme la base. Considérons ces exemples :
Périmètre Des Triangles Scalènes
Le périmètre d’un triangle scalène se calcule en additionnant les longueurs des trois côtés, soit ( P = a + b + c ). Examinons quelques exemples :
Ces exemples montrent comment calculer le périmètre selon le type de triangle.
Applications Pratiques
Nous pouvons observer plusieurs applications pratiques liées à l’aire et au périmètre des triangles dans divers domaines. Voici quelques exemples :
Ces exemples montrent bien comment les concepts géométriques se traduisent en applications tangibles dans notre quotidien. En maîtrisant les calculs d’aire et de périmètre, nous renforçons notre capacité à aborder les défis pratiques qui se présentent à nous dans diffèrent domaines d’activité.
Conclusion
Nous avons exploré l’importance de l’aire et du périmètre des triangles dans divers contextes. Ces concepts ne sont pas seulement théoriques mais trouvent des applications pratiques dans notre vie quotidienne.
En maîtrisant les formules de calcul et en comprenant les caractéristiques de chaque type de triangle, nous sommes mieux équipés pour résoudre des problèmes géométriques.
Que ce soit pour des projets d’architecture ou des activités manuelles, les triangles jouent un rôle essentiel. En continuant à pratiquer ces calculs, nous renforçons notre confiance en nos compétences mathématiques et notre capacité à aborder des défis variés.
